質量好的蒸汽疏水閥漏氣量很小,為了精確地反映疏水閥實際蒸汽泄漏量,應該考慮各種影響漏氣量的因素。通過以上各種計算方法的分析和試驗比較,筆者認為漏氣量計算公式中應該計入下列影響因素:
1、受試蒸汽疏水閥本身散熱損失。在進行漏汽量試驗時,受試疏水閥外殼一般不保溫,裸露的疏水閥散熱量較大。
2、試驗段系統(包括管道和計量桶)散熱損失。雖然試驗段常常采用保溫措施,但由于試驗段系統散熱面積較大,環境條件的變化對測試的精確性影響也較大。往往有不少漏氣量計算值出現負值,顯然這是不正確的。
3、受試蒸汽疏水閥前后工質機械能的變化。疏水閥進口工質有一定流速,具有一定動能,當流入計量 桶后這個速度被滯止,動能轉變成熱量,再者受試疏水閥與計量桶間有一定液位差,則蒸汽疏水閥進口工質相對計量桶內工質有一定勢能,當流入計量桶后,勢能轉變成熱量。雖然這種機械能變化甚微,但計算的漏氣量很小,不能將此機械能的變化忽略。
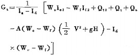
綜上所述,蒸汽疏水閥漏氣量的精確計算公式為:

符號說明:
wf計量桶內初始冷水重量kg
we計量桶內最終水重量kg
G 熱交換器中冷卻水重量kg
If1熱交換器進口水焓kcal/kg
Ie1熱交換器出口水焓kcal/kg
If2計量桶內初始水焓kcal/kg
Ie2計量桶內最終水焓kcal/kg
Id疏水閥進口凝結水焓kcal/kg
I5蒸汽焓kcal/kg
Ib疏水閥前壓力下飽和水焓kcal/kg
Qt1熱交換器的焓增kcal
Qt2計量桶的焓增kcal
Qb1疏水閥進口管道散熱量kcal
Qb2疏水閥出口管道散熱量kcal
T試驗時間see
Δt熱交換器中冷卻水進出口溫差℃
Cp熱交換器中冷卻水的比熱kcal/kg.℃
t1計量桶內初始水溫℃
t2計量桶內最終水溫℃
Qt受試疏水閥本身散熱量kcal
Qs試驗段系統散熱量kcal
A 熱功當量kcal/N.m
v 疏水閥進口工質流速m/s
H疏水閥進口工質與計量桶內工質液位差m
地 址:上海市金山區興塔工業區
咨詢電話:021-5736 2601
手機號碼:138 1635 7694
電子郵箱:hanyuev@163.com
網 址:http://m.cy0731.cn